天然产物资源库-客服电话:0917-8888998
关于我们
帮助中心
  • HB001030-RS
    ❤ 收藏
  • HB001030-RS

    雪上一枝蒿甲素

    品牌:Herbest--纯度:HPLC98% 鉴别用对照品 --CAS:1354-84-3,Bullatine A  

    • ¥173.00-905.00
      ¥0.00
      ¥173.00-905.00
      ¥155.70-814.50
    • 满意度:

      销量: 0

      评论: 0 次

    重量:0.000KG
    • 数量:
    • (库存70)
商品参数
  • 生物碱:雪上一枝蒿甲素
商品描述

品牌:Herbest--纯度:HPLC98% 鉴别用对照品 --CAS:1354-84-3,Bullatine A  


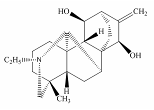
【品名】雪上一枝蒿甲素

【英文】Bullatine A

【级别】RS级(鉴别用对照品)

【纯度】HPLC面积归一化法98%以上;其它杂质数据未知。


【结构式】 

【分子式】C22H33NO2

【分子量】343.51

【CAS号】1354-84-3

【用途】鉴别用对照品;药物活性筛选;毒性研究,制剂研究等科研试验。

【包装】棕色玻璃瓶。

【贮藏】2-8℃保存。

【注意事项】本品具有引湿性,建议打开包装后一次使用完毕。


本品仅用于工业应用或者科学研究等非医疗目的,不可用于人类或动物的临床诊断或治疗,非药用,非食用。


  • 购买人 会员级别 数量 属性 购买时间
  • 商品满意度 :
暂无评价信息