天然产物资源库-客服电话:0917-8888998
关于我们
联系我们
  • HL217644-P
    ❤ 收藏
  • HL217644-P

    龙血素B

    品牌:Herbest --纯度:HPLC99%  含量测定用对照品 龙血素B; Loureirin B; CAS 119425-90-0

    • ¥***(登录查看)
      ¥***(登录查看)
      ¥80.00-6000.00
      ¥72.00-5400.00
    • 满意度:

      销量: 0

      评论: 0 次

    重量:1.000KG
    • 数量:
    • (库存15)
商品参数
  • 黄酮:龙血素B
商品描述

品牌:Herbest --纯度:HPLC99%  含量测定用对照品 龙血素B; Loureirin B; CAS 119425-90-0


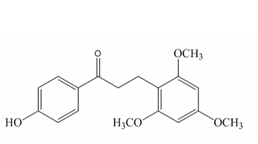
【品名】龙血素B;


【英文】Loureirin B ;


【级别】P级 含量测定用对照品 


【纯度】 HPLC面积归一化法98.5%以上;

 炽灼残渣小于0.2%,水分小于2%,残留溶剂小于0.1%。



【结构式】

  

【分子式】C18H20O5


【分子量】】316.35


【CAS号】119425-90-0


【用途】鉴别用对照品/含量测定用对照品;药物活性筛选;毒性研究,制剂研究等科研试验。


【包装】棕色玻璃瓶。


【贮藏】2-8℃保存。


【注意事项】本品具有引湿性,建议打开包装后一次使用完毕。


本品仅用于工业应用或者科学研究等非医疗目的,不可用于人类或动物的临床诊断或治疗,非药用,非食用。


  • 购买人 会员级别 数量 属性 购买时间
  • 商品满意度 :
暂无评价信息