天然产物资源库-客服电话:0917-8888998
关于我们
联系我们
  • HE131763-RS
    ❤ 收藏
  • HE131763-RS

    (RS)-告依春

    品牌:Herbest--纯度:HPLC98% 鉴别用对照品

    (R,S)-告依春;( R, S )-Goitrin;CAS#13190-34-6

    • ¥***(登录查看)
      ¥***(登录查看)
      ¥135.00-600.00
      ¥121.50-540.00
    • 满意度:

      销量: 0

      评论: 0 次

    重量:1.000KG
    • 数量:
    • (库存18)
商品参数
  • 皂苷:(RS)-告依春
商品描述

品牌:Herbest--纯度:HPLC98% 鉴别用对照品

(R,S)-告依春;( R, S )-Goitrin;CAS#13190-34-6


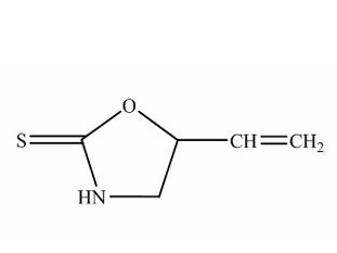
【品名】(R,S)-告依春


【英文】 ( R, S )-Goitrin


【级别】RS级(鉴别用对照品)


【纯度】HPLC面积归一化法98%以上;其它杂质数据未知。


【结构式】


【分子式】C5H7NOS

 

【分子量】129.18

 

【CAS号】13190-34-6


【用途】鉴别对照品用;药物活性筛选;毒性研究,制剂研究等科研试验。


【包装】棕色玻璃瓶。


【贮藏】2-8℃保存。


【注意事项】本品具有引湿性,建议打开包装后一次使用完毕。


本品仅用于工业应用或者科学研究等非医疗目的,不可用于人类或动物的临床诊断或治疗,非药用,非食用。



  • 购买人 会员级别 数量 属性 购买时间
  • 商品满意度 :
暂无评价信息