天然产物资源库-客服电话:0917-8888998
关于我们
联系我们
  • NIFDC111686
    ❤ 收藏
  • NIFDC111686

    人参皂苷Rb3

    品牌:中检所--纯度:HPLC98%;含量测定对照品.人参皂苷Rb3;Ginsenoside Rb3;CAS#68406-26-8

    • ¥***(登录查看)
      ¥***(登录查看)
      ¥1580.00
      ¥1422.00
    • 满意度:

      销量: 0

      评论: 0 次

    重量:1.000G
    • 包装规格:
    • 20mg
    • 数量:
    • (库存3)
商品参数
  • 皂苷:人参皂苷Rb3
商品描述

品牌:中检所--纯度:HPLC98%;含量测定对照品.人参皂苷Rb3;Ginsenoside Rb3;CAS#68406-26-8


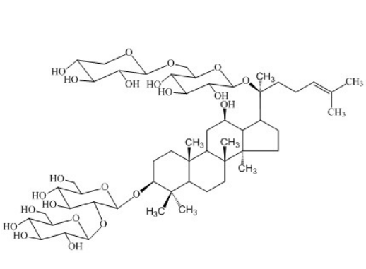
【品名】人参皂苷 Rb3 


【英文】Ginsenoside Rb3


【类别】化学对照品



【结构式】


【分子式】C53H90O22


【分子量】1079.27


【CAS号】68406-26-8


【用途】人参皂苷Rb3 (Ginsenoside Rb3 )对照品系供《中国药典》 2020版一部七叶神安片等项下鉴别和含量测定用。 


【特性量值】含量以95.5%计。 


【使用方法】使用前不需干燥处理。 


【包装】棕色安瓿 


【规格】20mg/支


【贮藏】-20℃保存。


【注意事项】本品具有引湿性,建议打开包装后一次使用完毕。


本品仅用于工业应用或者科学研究等非医疗目的,不可用于人类或动物的临床诊断或治疗,非药用,非食用。



  • 购买人 会员级别 数量 属性 购买时间
  • 商品满意度 :
暂无评价信息