天然产物资源库-客服电话:0917-8888998
关于我们
联系我们
  • NIFDC110751
    ❤ 收藏
  • NIFDC110751

    贝母素乙

    品牌:中检所--纯度:HPLC98% 含量测定用对照品,贝母乙素,贝母乙;去氢贝母碱; 去氢浙贝母碱; 贝母乙素.浙贝乙素; 浙贝乙素; 贝母宁碱; 3beta,20-二羟基-5alpha-cevan-6-酮; ,浙贝乙素;Peiminine ;CAS#18059-10-4

    • ¥***(登录查看)
      ¥***(登录查看)
      ¥1025.00
      ¥922.50
    • 满意度:

      销量: 0

      评论: 0 次

    重量:1.000G
    • 包装规格:
    • 20mg
    • 数量:
    • (库存3)
商品参数
  • 生物碱:贝母素乙
商品描述

品牌:中检所--纯度:HPLC98% 含量测定用对照品,贝母乙素,贝母乙;去氢贝母碱; 去氢浙贝母碱; 贝母乙素.浙贝乙素; 浙贝乙素; 贝母宁碱; 3beta,20-二羟基-5alpha-cevan-6-酮; ,浙贝乙素;Peiminine ;CAS#18059-10-4


【品名】贝母素乙


【英文】Peiminine


【类别】化学对照品


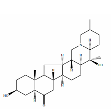
【结构式】


【分子式】C27H43NO3


【分子量】429.64


【CAS号】18059-10-4


【用途】贝母素乙(Peiminine)对照品系供中国药典 2020 年版一 部川贝母、浙贝母、湖北贝母、浙贝流浸膏、川贝止咳露(川贝枇杷 露)、乌贝散、乌贝颗粒等项下鉴别或含量测定用。 


【特性量值】含量以 97.9% 计。 


【使用方法】使用前不需干燥处理。 


【包装】棕色安瓿


【注意事项】本品具有引湿性,建议打开包装后一次使用完毕。


本品仅用于工业应用或者科学研究等非医疗目的,不可用于人类或动物的临床诊断或治疗,非药用,非食用。



  • 购买人 会员级别 数量 属性 购买时间
  • 商品满意度 :
暂无评价信息