天然产物资源库-客服电话:0917-8888998
关于我们
帮助中心
  • HB001005-RS
    ❤ 收藏
  • HB001005-RS

    苯甲酰新乌头原碱

    品牌:Herbest-- 纯度:HPLC98% 鉴别用对照品;苯甲酰新乌头原碱;Benzoylmesaconine ;CAS#63238-67-5

    • ¥0.00-1600.00
      ¥0.00
      ¥0.00-1600.00
      ¥0.00-1440.00
    • 满意度:

      销量: 0

      评论: 0 次

    重量:1.000G
    • 数量:
    • (库存40)
商品参数
  • 生物碱:苯甲酰新乌头原碱
商品描述

品牌:Herbest-- 纯度:HPLC98% 鉴别用对照品;苯甲酰新乌头原碱;Benzoylmesaconine ;CAS#63238-67-5


【品名】苯甲酰新乌头原碱


【英文】Benzoylmesaconine


级别】RS级 (鉴别用对照品)


【纯度】HPLC面积归一化法98%以上;其它杂质数据未知。


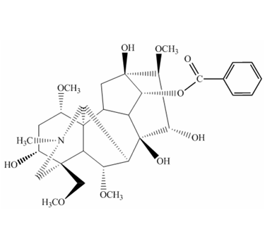
【结构式】



【分子式】C31H43NO10


【分子量】589.68


【CAS号】63238-67-5


【用途】鉴别对照品用;药物活性筛选;毒性研究,制剂研究等科研试验。


【包装】棕色玻璃瓶。


【贮藏】2-8℃保存。


【注意事项】本品具有引湿性,建议打开包装后一次使用完毕。


本品仅用于工业应用或者科学研究等非医疗目的,不可用于人类或动物的临床诊断或治疗,非药用,非食用。



  • 购买人 会员级别 数量 属性 购买时间
  • 商品满意度 :
暂无评价信息