天然产物资源库-客服电话:0917-8888998
关于我们
帮助中心
  • 银杏酸C17:2
    ❤ 收藏
  • 银杏酸C17:2

    品牌:Herbest--纯度:HPLC98% 鉴别用对照品

    银杏酸C17:2;Ginkgolic Acid C17:2;CAS#102811-39-2
    • ¥350.00-35000.00
      ¥0.00
      ¥350.00-35000.00
      ¥315.00-31500.00
    • 满意度:

      销量: 0

      评论: 0 次

    重量:1.000KG
    • 数量:
    • (库存18)
商品参数
    商品描述

    品牌:Herbest--纯度:HPLC98% 鉴别用对照品

    银杏酸C17:2;Ginkgolic Acid C17:2;CAS#102811-39-2

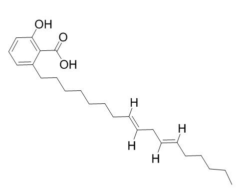
    【品名】银杏酸C17:2


    【英文】Ginkgolic Acid C17:2


    【级别】RS级(鉴别用对照品)


    【纯度】HPLC面积归一化法98%以上;其它杂质数据未知。


    【结构式】

    【分子式】C24H36O3


    分子量】372.549 


    【CAS号】102811-39-2


    【用途】鉴别对照品用;药物活性筛选;毒性研究,制剂研究等科研试验。


    【包装】棕色玻璃瓶。


    【贮藏】2-8℃保存。


    【注意事项】本品具有引湿性,建议打开包装后一次使用完毕。


    本品仅用于工业应用或者科学研究等非医疗目的,不可用于人类或动物的临床诊断或治疗,非药用,非食用。





    • 购买人 会员级别 数量 属性 购买时间
    • 商品满意度 :
    暂无评价信息