天然产物资源库-客服电话:0917-8888998
关于我们
联系我们
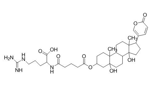
  • 远华蟾毒精-3-戊二酰-L-精氨酸脂
    ❤ 收藏
  • 远华蟾毒精-3-戊二酰-L-精氨酸脂

    品牌:Herbest--纯度:HPLC98% 鉴别用对照品

    远华蟾毒精-3-戊二酰-L-精氨酸脂;Telocinobufagin 3-glutaryl-L-arginine ester;CAS:CSX1(AS)
    • ¥***(登录查看)
      ¥***(登录查看)
      ¥1500.00-15000.00
      ¥1350.00-13500.00
    • 满意度:

      销量: 0

      评论: 0 次

    重量:1.000KG
    • 数量:
    • (库存12)
商品参数
    商品描述

    品牌:Herbest--纯度:HPLC98% 鉴别用对照品

    远华蟾毒精-3-戊二酰-L-精氨酸脂;Telocinobufagin 3-glutaryl-L-arginine ester;CAS:CSX1(AS)

    【品名】远华蟾毒精-3-戊二酰-L-精氨酸脂


    【英文】Telocinobufagin 3-glutaryl-L-arginine ester


    【级别】AS级(鉴别用对照品)


    【纯度】HPLC面积归一化法98%以上;其它杂质数据未知。


    【结构式】

    【分子式】C35H52N4O9


    分子量】672.82


    【CAS号】CSX1(AS)


    【用途】鉴别对照品用;药物活性筛选;毒性研究,制剂研究等科研试验。


    【包装】棕色玻璃瓶。


    【贮藏】2-8℃保存。


    【注意事项】本品具有引湿性,建议打开包装后一次使用完毕。


    本品仅用于工业应用或者科学研究等非医疗目的,不可用于人类或动物的临床诊断或治疗,非药用,非食用。



    • 购买人 会员级别 数量 属性 购买时间
    • 商品满意度 :
    暂无评价信息