天然产物资源库-客服电话:0917-8888998
关于我们
联系我们
  • NIFDC111993
    ❤ 收藏
  • NIFDC111993

    8-姜酚

    品牌:中检所--含量测定用对照品;8-姜酚;8-Gingerol ;CAS :23513-08-8 

     

    • ¥***(登录查看)
      ¥***(登录查看)
      ¥3950.00
      ¥3555.00
    • 满意度:

      销量: 0

      评论: 0 次

    重量:1.000KG
    • 数量:
    • (库存2)
商品参数
  • 酚类化合物:8-姜酚
商品描述

品牌:中检所--含量测定用对照品;8-姜酚;8-Gingerol ;CAS :23513-08-8 

 


【品名】8-姜酚 


【英文】8-Gingerol 


 类别化学对照品


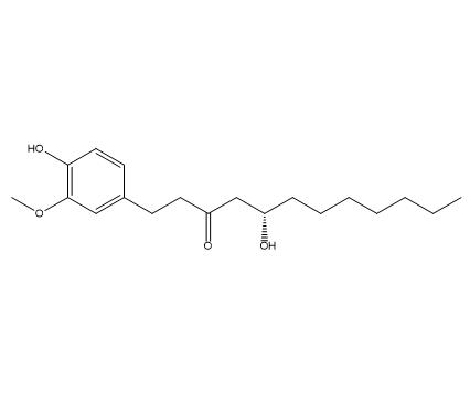
【结构式】


【分子式】C19H30O4


【分子量】322.4


【CAS号】23513-08-8


【用途】8-姜酚(8-Gingerol)对照品系供《中国药典》2020 年版一部生姜等项下含量测定用。

 

【特性量值】含量以 98.6%计。


【使用方法】使用前不需干燥处理。 


【包装】棕色安瓿 


【规格】0.2ml/支 


【贮藏】-20℃保存。


【注意事项】本品具有引湿性,建议打开包装后一次使用完毕。


本品仅用于工业应用或者科学研究等非医疗目的,不可用于人类或动物的临床诊断或治疗,非药用,非食用。


  • 购买人 会员级别 数量 属性 购买时间
  • 商品满意度 :
暂无评价信息